じゅず順列の問題です 2023年10月23日 じゅず順列の問題です 出典:2023年大同大学全学前期試験 解答です赤色のガラス玉4個、青色のガラス玉2個、透明のガラス玉1個を1列に並べる場合の数は{7!/(4!)*(2!)}=7*3*5=105より105通りである。円形に並べる場合の数は105÷7=15より15通りである。 透明のガラス玉を図のように固定する。 赤色のガ… 続きを読むread more
2023年大学入試まとめ 2023年03月22日 2023年大学入試数学をまとめたぜ。参考にしてくれ。 ・今年度の出題トピック ①2023に関する整数問題金沢大文系、琉球大文系、関西大理系、藤田医科大、一橋大後期金沢大と琉球大は問われ方が違うだけで実質同じ問題関西大理系と藤田医科大の問題が同じ問題②空間ベクトルの問題多すぎ「数学B」から「数学C」に移動する影響で出題が多いのか?… 続きを読むread more
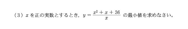
不等式の問題です 2023年03月21日 不等式の問題です。出典:2022年千歳科学技術大学前期試験 解答ですx>0より、x≒0より右辺をxで割るとy=x+1+(36/x) ・・・①である。ここでx+(36/x)は相加平均、相乗平均の関係式よりx+(36/x)≧2√(x)*(36/x)=12より、①からx+1+(36/x)≧12+1 よりx+1+(36/x)≧13で… 続きを読むread more